led產品的分類有很多,如led根據發光管發光顏色、發光管出光面特征、發光管結構、發光強度、工作電流、芯片材料及功能等,有不用的分類方法。深圳銀聯寶科技主攻方向是Led驅動電源芯片。今天的主角——led驅動電源芯片U6116,是一款高性能、多模式且采用斷續模式(DCM)工作的原邊控制器。芯片內高精度的恒流、恒壓控制機制結合完備的保護功能,使其適用于小功率離線式電源應用中。
在原邊控制技術中,當原邊向副邊傳輸能量時,通過采樣與副邊繞組耦合的輔助繞組電壓,得到輸出電壓反饋信號。下圖展示了led驅動電源芯片U6116內部CV電壓采樣時序以及關鍵波形。隨著副邊電流的續流到零,存在著副邊續流二極管導通壓降VF的降低過程。為了通過輔助繞組獲得高精確的輸出電壓信息,芯片內的恒壓采樣模塊屏蔽了由于漏感導致的關斷時刻的電壓振蕩。當恒壓采樣過程結束時,內部的采樣保持模塊記錄下反饋誤差并通過內部的誤差運算放大器將其放大。原邊恒壓控制模塊利用誤差運算放大器的輸出實現高精度的恒壓輸出。芯片內部恒壓輸出基準為高精度的2V。
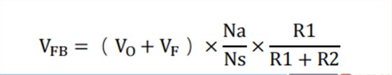
在恒壓采樣過程中,led驅動電源芯片U6116內部有一可變電流源從 FB 管腳流出用作線損補償,如下圖所示,由此將在FB波形上產生一電壓階梯。也展示了消磁過程中FB電壓平臺的量化關系:其中:Vo 和VF分別為輸出電壓和副邊續流二極管導通電壓;R1和R2為由輔助繞組連接到FB管腳的分壓電阻;Ns和Na分別為副邊繞組和輔助繞組匝數。
當系統進入到過載模式后,隨著輸出電壓的降低FB電壓將降低至內部輸出電壓基準2V以下,之后芯片也將自動進入到恒流輸出模式中。
為了滿足嚴苛的平均效率和待機功耗要求,led驅動電源芯片U6116采用了調幅控制(AM)和調頻控制(FM)結合的多模式控制技術。接近滿載輸出時,系統工作在調頻工作模式中;在輕重載條件下,系統工作在調頻工作和調幅工作模式中;當系統接近空載輸出時,系統工作在調頻模式中以降低待機功耗。利用此種控制技術,系統可以獲得低于70mW的待機功耗。
深圳銀聯寶科技另有多款led驅動電源芯片,方便用戶根據實際應用場景選擇不同的參數,并能提供成熟的配套方案以及一站式技術服務支持,提升效率,落實到位!
